脑海绵状血管瘤(CCM)是儿童自发性脑出血(ICH)的主要原因,其中25%的CCM影响≤18岁的个体。与成人相比,儿童的症状性CCM主要表现为头痛、癫痫发作或急性脑出血引起的局灶性神经功能障碍。虽然大多数CCM表现为良性过程,但在深部区域发生脑出血或反复出血事件可能会致残,并对儿童造成特别悲惨的后果,因为他们的未来还很长。

Stroke:儿科脑海绵状血管畸形的自然史
脑干海绵状血管瘤出血导致说不了、动不了、看不清了
国际神外大咖巴教授如何评估?
2天时间,脑干海绵状血管瘤致脑干出血,13岁男孩无法说话、不能动弹。
滴滴、滴滴滴……监护仪滴滴声不停,平稳有力。
“小豪、闭上眼睛,伸一下舌头、眼睛再睁开……”
躺在床上的男孩,叫小豪(化名),才13岁。
原本活泼爱动的孩子,现在已经言语含糊,肢体活动障碍、无法吞咽……
颅脑CT检查,小豪出现了严重的脑干出血伴水肿,海绵状血管瘤出血。

住院期间,眼睁睁看着儿子病情一步步加重,意识模糊、肢体活动障碍加重、吞咽和呛咳障碍……
他躺在床上,鼻子插着管子,身子虚弱得动弹不得。
当妈妈拍拍他,温柔的喊他——“宝宝,舌头能不能伸一下?”
然而、这个经由她的身体孕育的宝贵生命,此刻却被疾病困在了病床上。
他可以听见爸爸妈妈的声音,嘴角微微上扬,但是他控制不了自己的身体。
他努力发出声音,使劲睁开眼睛,可是他说不出话……
住院以来,这个懂事小男孩即使深受疾病折磨,仍保持乐观,一直在和疾病抗争。
为了喊出“爸爸、妈妈”,或许,此时的他已经使出了浑身力气。
看到这一幕,我们眼睛红了,也默默为小豪加油,也在为这一家人祈祷。
小豪的情况并不乐观,面对躺在病床上的儿子,他们束手无策。
下一步该怎么办?
小豪父母现在手中握着的,是儿子的生命和未来。
病程已经无法再等待,小豪的父母此时必须要做一个决定。
妈妈不想儿子再承受痛苦,而父亲也希望为儿子争取新的机会,这对夫妻最初决定为孩子寻求更好的治疗。
如果可以手术快速清除血肿,缓解脑干内的占位效应,小豪或许病情能迅速好转、甚至恢复正常状态。
等待这台拯救生命的脑干手术,就像攀登在喜马拉雅的背脊上,稍有闪失便是深渊。
小豪状况依然十分紧急,小豪的父母了解到国际脑干手术大咖巴教授,通过INC国际神经外科医生集团寻求他的帮助。
而巴教授又会如何为小豪评估,他还有好转的机会吗?
“我可以为他手术!”
INC巴特朗菲教授远程回复
大的出血性病变位于桥脑腹侧靠上部位,并伴有周围内源性水肿。总之,这是一个相当严重和危险的病变,这一事实已经反映在之前的临床症状上了。
而且由于吞咽困难也会存在吸入性肺炎的危险,我希望这点将被认真考虑。
唯一的治疗方法是手术清除内源性桥脑出血,这很可能是由潜在的海绵状血管瘤引起的。需要手术来缓解脑干内的占位效应。手术时机是尽快。
我们可以预期不做手术的话可能会有轻微的改善,但不做手术完全康复几乎是不可能的;因此,如果不进行手术,临床症状发展将不会很好,男孩留下永久性神经功能障碍的风险非常高。永久性障碍的发展与临床症状的持续时间有关。所以,脑干内源性出血切除得越快,恢复得就越快越好。
(术后)再出血的理论风险约为3%。

脑干海绵状血管瘤手术为何如此之难?
脑干素有“生命禁区”之称,其中密集排列着颅神经的核团和肢体与大脑联系的上下传导束,且拥有心血管中枢和呼吸中枢,维持着人们清醒的脑干上行激活系统,同时它是大脑与脊髓联络的必经之道。脑干一旦受损出血,病死率极高,是神经系统急重症。有报道指出,脑干出血死亡率高达79%,出血量大于5ml者死亡率高达95%(这个数字有不同的报道)。脑干出血病人多数在发病24小时内昏迷,血压相对较高,同时出现呼吸障碍和循环系统障碍、伴构音障碍及呛咳、交叉瘫、四肢瘫、眼球震颤等,是促进脑出血死亡的重要原因之一。
立即手术还是保守等待?
由于反复出血是造成脑干海绵状血管瘤患者神经损伤的重要原因。因此,完整切除病灶进行全切手术(BSCM)是防止再出血的有效方法,也是患者获得治愈的有效方法。近年来,随着神经影像学的进步,神经导航、神经电生理监测的应用以及显微神经外科技术的进步,全切手术效果也明显提高。
1928年,Dandy完成第一例脑干海绵状血管瘤手术,随着神经学科的快速发展,手术治疗脑干海绵状血管瘤的研究报道也是层出不穷,国外全切技术相对成熟,而且取得了显著的治疗效果。
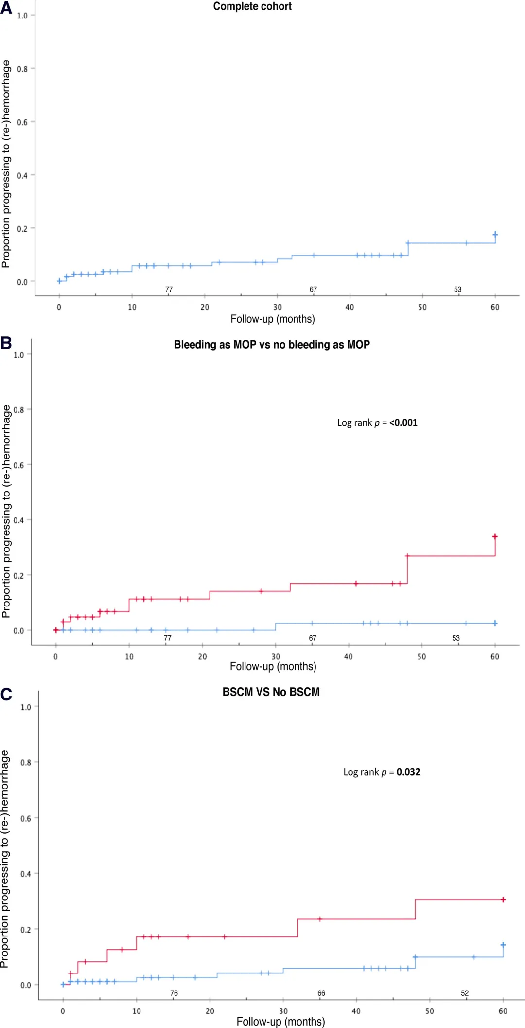
在一项《Natural Course of Cerebral Cavernous Malformations in Children:A Five-Year Follow-Up Study儿童脑海绵状血管瘤的自然病程:5年随访研究》中,研究者对所在机2003年至2020年治疗的脑海绵状血管瘤患者,纳入年龄≤18岁,具有完整的磁共振成像数据、临床基线特征,以及≥1次随访检查。整个队列的5年累计(再)出血风险为15.9%,确诊时患有脑出血的儿童患者的5年累计(再)出血风险为30.2%,脑干海绵状血管瘤儿童的5年累计(再)出血风险为29.5%,并发布在《Stroke》上。
研究发现:患有脑干海绵状血管瘤和有脑海绵状血管瘤家族史的儿科患者出现脑出血的风险更高。在未经治疗的5年随访中,他们发现与成年患者相比,再次出血的风险相似。随着时间的推移,(再)出血的可能性会增加,尤其是在出现脑出血或脑干位置的情况下。

▼总体随访期间每位患者每年的出血风险

▼累积5年(再)出血风险

▼影响五年预后结果的危险因素

A,整体队列5年预后生存曲线B,按是否出血情况对比C,脑干海绵状血管瘤或非脑干海绵状血管瘤(红色为脑干海绵状血管瘤)
小儿脑海绵状血管瘤患者(再)出血的危险因素
研究发现,脑干海绵状血管瘤和脑海绵状血管瘤家族史是(再)出血的预测因子,这在多变量分析中得到了证实。根据文献,与其他位置相比,脑干海绵状血管瘤的出血率更高。此外,研究观察到脑干海绵状血管瘤和脑海绵状血管瘤家族史患者每年的(再)出血风险分别为7.1%和6.2%,而整个队列为4.1%,无症状患者为0.4%。相关阅读:哪些情况易导致脑干海绵状血管瘤出血?4大高危因素实例分析
近十年来,尽管随着对脑干海绵状血管瘤自然史的不断了解,显微解剖、神经影像、导航及术中电生理监测技术、手术技术、手术器械的不断发展,脑干这一手术“禁区”正在被逐步跨越和突破,手术已成为脑干海绵状血管瘤的优选治疗策略,但目前这对于医生来说依旧具有很大的挑战性。
然而,脑干长期被视为“手术禁区”,即使显微神经外科技术、术中辅助技术发展及脑干安全区的发现,直到如今依然仅有少数术者有较多成功的手术报道。综合其近400台脑干海绵状血管瘤成功手术经验,INC巴教授对脑干海绵状血管瘤手术治疗经验要点总结如下:
1、临床症状严重提示有手术指征;
2、偶然发现的(静态的,无临床表现,无出血)海绵状血管瘤暂时不需要手术治疗;
3、在进展恶化快的病人中,紧急手术切除肿瘤是有益的,相当于抢救性手术;
4、有很多手术入路是可以选择的,但最短到达肿瘤的手术路径并不一定是最好的手术入路选择;有的较长的入路在特定情况下对功能的保护是很好的;
5、根据巴教授手术的患者,90%以上的患者可以达到良好或极好的预后;
6、再发出血的患者应该再次手术。
- 文章标题:这个位置的脑出血竟会瘫痪、失语,但是却有治愈机会!
- 更新时间:2024-12-11 18:54:12
400-029-0925




