54岁,人过半百的格斯先生被确诊为垂体瘤。自己是怎么发现的?说起来有些难以启齿他的性欲开始减退了。这还不是最严重的,更加令他痛苦的是,自己还出现了勃起功能障碍。怀揣着这点难言之隐,格斯先生瞒着家人去了一趟医院,这才被诊断为生长激素和促性腺激素部分功能减退。 究其根本,还是...

54岁,人过半百的格斯先生被确诊为垂体瘤。自己是怎么发现的?说起来有些难以启齿——他的性欲开始减退了。这还不是最严重的,更加令他痛苦的是,自己还出现了勃起功能障碍。怀揣着这点“难言之隐”,格斯先生瞒着家人去了一趟医院,这才被诊断为“生长激素和促性腺激素部分功能减退”。
究其根本,还是核磁上那个位于鞍区的垂体瘤。医生告诉他:“现在肿瘤比较大,你的视力应该也出现问题了,这是因为肿瘤把视交叉压扁了,导致垂体向左侧移位。总之,你现在必须手术。”
看似没得选,实则也有得选。格斯先生回到家后一脸愁容,等到家人问起,他才叹了一口气,将事情全盘托出,最后问道:“医生说可以内镜做,也可以开颅做,你们觉得我选哪个比较好?”
01.
二者实则优势相当
但有两点内镜更胜一筹
2025年7月,由世界神经外科学会联合会(WFNS)内镜委员会前主席Henry W.S.Schroeder(施罗德)教授等人联合发表的研究《Comparison of endoscopic and endoscope-assisted microscopic transsphenoidal surgery for pituitary adenoma resection:a prospective randomized study》被刊登于国际期刊。

该研究得出结论:在大多数方面,内镜和显微镜开颅两种技术优势相当,没有显示出明显差异,例如住院时间、并发症发生率、垂体和嗅觉功能、眼部改善情况、整体生活质量以及SNOT评分等。然而,与显微镜开颅手术相比,内镜手术与较低的肿瘤复发率相关,并且在长期预后以及改善垂体前叶功能方面显示出优势。
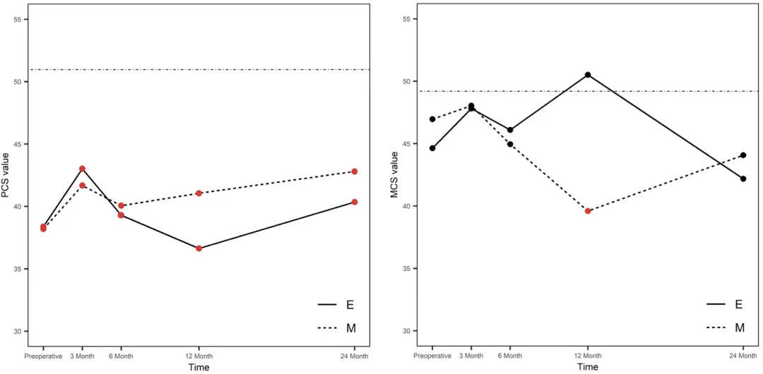
▼整体预后对比(蓝色为内镜手术)

▼心理和身体评分对比(实线为内镜手术)

▼手术、放射学、内分泌、眼科和鼻科结果,以及患者的生活质量对比

02.
选择内镜手术的格斯先生
预后真的那么好吗
让我们再次将目光聚焦回纠结的格斯先生身上。最终,他在施罗德教授的建议下选择了经鼻蝶窦内镜微创手术,也就是采用内镜从鼻子进入切除肿瘤。
尽管一开始十分害怕,但格斯先生在醒来后还是暗暗松了口气——幸好自己及时做出了选择。施罗德教授告诉格斯一家,在内镜的加持下,肿瘤得到全切,各结构保持完好。
术后,格斯先生在家人的照料下一点点恢复,原先的视力视野问题也得到改善,术后一年,无论是临床检查还是实验室检查均未再发现垂体功能减退的迹象,因此格斯先生正式停用了替代治疗。
术后一年的磁共振成像证实肿瘤已完全切除,左侧鞍内区域可以清晰区分垂体,且鼻旁窦区域结构正常。这下,格斯先生更是放下心来,每天钓鱼、划船,生活比之前更惬意。
- 文章标题:垂体瘤手术选内镜还是开颅?研究证实:内镜术后更不易复发、功能更好!
- 更新时间:2026-01-22 13:42:48
-
因此内科医生和外科医生对于需要这种治疗的病人,要仔细权衡再次手术的利弊。垂体癌...
2021-03-31 09:47:42
-
巨大垂体瘤案例分享 一位62岁女性患者,与垂体瘤抗争长达35年,曾因垂体瘤复发接受放...
2025-10-09 15:50:09
-
垂体瘤起源于垂体前叶细胞,多数一般为良性肿瘤,分类为垂体腺瘤(PaS);只有0.1-0.2%的...
2022-01-24 18:51:21
-
手术通常是 垂体瘤 患者的主要治疗方法。目标是切除全部的肿瘤。在某些情况下,化疗...
2020-05-21 13:18:07
-
原本正常标准的五官变得宽大,手指变粗,经常手脚发麻,皮肤越来越粗糙好端端的帅哥...
2021-03-23 15:45:00
-
INC国际神经外科医生集团旗下组织世界神经外科顾问团(WANG)成员、世界神经外科学院...
2025-10-14 10:55:44
-
垂体发展几种类型的肿瘤,其中大多数是称为腺瘤的良性肿瘤。通常,据说脑肿瘤每年每...
2021-03-23 15:45:12
-
脑垂体瘤早期该怎么治疗?脑垂体瘤怎么治疗费用 脑垂体瘤可以说是脑肿瘤中对人体生命...
2021-03-23 15:45:29
-
垂体瘤是发病率约占颅内肿瘤的8%-15%,仅次于脑胶质瘤和脑膜瘤,其发病症状主要为激素...
2020-08-26 14:59:16
-
孕期恶心呕吐严重,一直以为是孕期正常反应,忍受不住折磨的叶女士确诊为垂体瘤 正...
2025-08-11 15:25:37
-
37岁的女士珍妮(化名),近几个月来,月经紊乱,并且经常感到腰背跳痛。然后到当地的...
2021-03-23 15:43:29
-
垂体瘤复发栏目主要讲的是脑垂体瘤复发怎么办?如何治疗等有关问题,帮助大家平时注...
2022-06-03 09:36:38
-
垂体瘤是颅内常见的良性肿瘤之一,发病率占颅内肿瘤10%-20%,仅次于脑胶质瘤和脑膜瘤...
2019-12-27 12:23:12
-
脑垂体瘤是什么病?侵袭性垂体瘤复发的可能性大吗?垂体瘤2次手术又复发,现在肿瘤...
2022-01-21 15:17:38
-
垂体瘤严重吗栏目科普的是脑垂体瘤对身体的危害程度,如:女性脑垂体瘤严重吗、能活...
2022-06-03 09:32:47
-
男人都是从哪一刻意识到自己变老了? 54岁的他,一个鞍区肿瘤让他 性欲减退、勃起功能...
2025-06-17 11:36:50
-
脑脊液是由侧脑室中的脉络丛产生的无色透明液体,充满各脑室、蛛网膜下腔和脊髓中央...
2025-10-31 11:07:22
-
脑垂体瘤严重吗? 垂体瘤是在鞍区较常见的良性肿瘤。其发病率为8.2-14.7 / 100000,占全部...
2019-12-06 16:09:04
-
今年25岁的王雷(化名),阳光健康,身体强壮。在检查出 垂体瘤 :生长激素缺乏症之...
2020-03-06 20:26:34
-
垂体瘤手术栏目为大家提供了脑垂体瘤算大手术吗等有关手术的相关问题,同时也提供了...
2022-06-03 09:30:44