“怎么办,室管膜瘤手术这才大半年,又长了,心态完全崩掉了……”

术后半年核磁影像复查提示复发
“我家4岁半做的手术,3个月复查核磁显示已经有1.5公分了。祈求,二次手术顺利全切……”
室管膜瘤为何容易复发?
室管膜瘤复发一般有手术中肿瘤未完全切除、室管膜瘤的恶性程度高等原因。约80%的复发为局部复发,这提示较大水平顺利切除肿瘤至关重要。尽管报道的获益程度不同,但全部研究都表明可接受肿瘤全切的患儿预后更好。
室管膜瘤复发之后怎么办?再次手术还有意义吗?
一名5岁小男孩被诊断为间变型室管膜瘤后,先后接受了部分肿瘤切除手术与质子治疗,但不幸的是病情继续发展。孩子开始出现明显的吞咽功能障碍,MRI复查后发现:脑干室管膜瘤又有增长,且已经浸润到脑干右侧很深的部位,面对复发他们多方求医寻得INC国际教授手术,然后顺利全切肿瘤,轩轩也终于摆脱了复发之痛。

室管膜瘤复发后再次手术的案例越来越多,复发再次手术已被证明可以明显好转预后。只要有可能,应建议再次手术。室管膜瘤来源于脑室与脊髓中央管的室管膜细胞或脑内白质室管膜细胞巢中的中枢神经系统肿瘤。手术全切肿瘤是室管膜瘤的优选治疗方案,一个潜在的重要预后因素是手术切除程度,全切除组存活率有的提高。
INC国际神外教授,复发性儿童室管膜瘤前沿研究
室管膜瘤是中枢神经系统的神经胶质恶性肿瘤,影响儿童和成人患者,跨越年龄和解剖部位,包括脊髓,幕下和幕上。小儿室管膜瘤常见于后颅窝,是儿童中三常见的后颅窝肿瘤。室管膜瘤的分子分类将患者分为九组,并为以前的国际卫生组织(WHO)组织病理学分级方案增加了临床和预后价值。

加拿大James T.Rutka教授
●国际神经外科学院院长(2011-2014)
●美洲神经外科学院院长(2012)
●美洲神经外科医师协会主席(2010-2011)
●国际神经外科杂志《Journal of Neurosurgery》主编(2013年至今)
●多伦多大学外科学系教授、系主任(1999年至今)
●多伦多大学儿童病院、亚瑟和索尼亚拉巴特脑瘤研究中心主任(1998年至今)
●加拿大勋章(Order of Canada,2016年)
●“国际微笑勋章”(International Order of Smile)(2006年)
在INC国际神经外科顾问团成员ames T.Rutka教授的《Outcomes following management of relapsed pediatric posterior fossa ependymoma in the molecular era》(分子时代的小儿复发性后颅窝室管膜瘤的治疗预后管理)论文中,综述了其关于儿童复发性后颅窝室管膜瘤的治疗和预后之间的联系,如何为复发性后颅窝室管膜瘤患儿争取到更好的预后生存期?
鉴于复发性儿童室管膜瘤的管理情况,Rutka教授通过研究2000年至2019年原发性和复发性室管膜瘤儿童的生存率,用于评估治疗因素和总生存期之间的关系。

研究结果

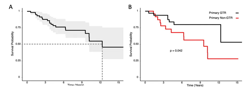
这项研究中,50%的患者中位生存期为12.3年,一次复发疾病诊断后为3.3年。全切除(GTR)与初次切除术后生存率提高相关。复发与较差的生存率相关。在疾病复发诊断时,播散性疾病是一个负预后因素,而一次复发时GTR与生存率好转相关。结论表明——复发时的疾病播散程度和一次复发疾病的切除范围是重要的预后因素。对于复发性室管膜瘤,手术治疗优于不手术治疗。



图1 Kaplan-Meier曲线显示原发性后窝室管膜瘤切除术(A-C)和一次复发室管膜瘤切除术(D-F)患者的总生存率。A组显示原发性室管膜瘤切除术后总体队列生存率为95%置信区间(虚线显示队列生存率为50%)。B组和C组分别显示了大体全切除与非大体全切除患者的原发性室管膜瘤生存率(p=0.042)和跨分子亚组生存率(p=0.24)。

图2初次切除后复发位置解剖图。A、B、C组显示一开始复发、二次复发和三次复发室管膜瘤分布

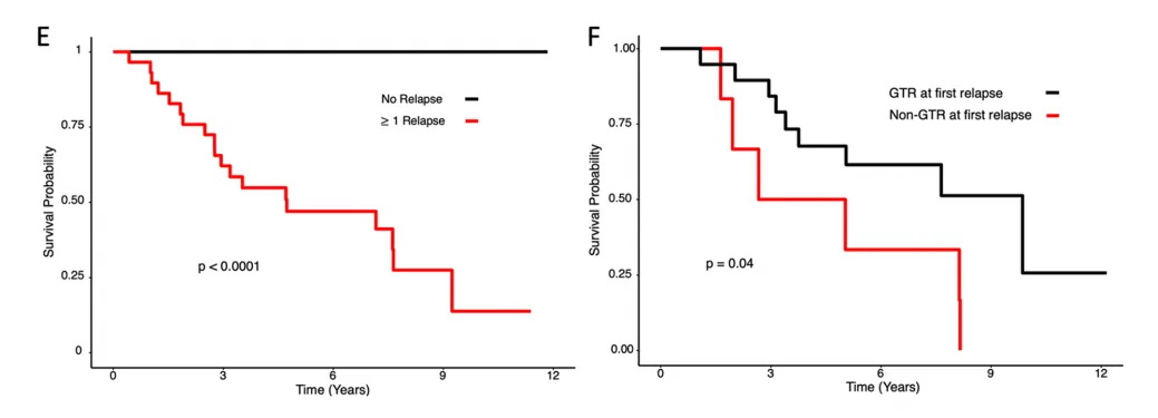
图3后颅窝室管膜瘤初次治疗后没有复发(左)和复发(右)患者的生存轨迹。箭头表示审查时的存活时间,三角形表示复发事件,圆圈表示死亡率。放射治疗(红色)、化疗(蓝色)、化疗和放疗联合治疗(紫色)和手术
▼后颅窝室管膜瘤生存率的单因素和多因素分析


关于儿童复发室管膜瘤相关研究

在以往针对接受不同治疗方式的原发性颅内室管膜瘤儿童患者的大型系统综述中,GTR与较低的死亡率、有利的无进展生存期(PFS)和较长的总生存期(OS)相关。相比之下,次全切除(STR)组的死亡率较高。其他研究证实了切除程度对儿童室管膜瘤患者OS、局部复发率和无事件生存的预后重要性,并强调了辅助放疗对OS的重要性。辅助化疗的作用仍然是一个活跃的研究领域,是正在进行的临床试验的主题。
在GTR和辅助放疗后,即使在长期存活5年的患者中也存在局部复发的风险。复发性室管膜瘤的治疗考虑包括每次疾病复发时的手术干预,考虑化疗和/或辅助放疗。近期一项针对局部复发的儿童幕下室管膜瘤的多中心研究显示,一次复发时的GTR与好转的OS相关。化疗治疗复发性室管膜瘤没有显示出令人信服的生存效益,尽管在儿童患者中已被认为是为了替代放疗。
后记
手术是室管膜瘤治疗较重要的一步,做不好会造成多次开颅。孩子不幸确诊了室管膜瘤,家长务必不要慌张,理清治疗思路重要。不管是复发的室管膜瘤还是初次发现的,手术都是较重要的一步,找对医生重要。盲目就医手术,如果没切干净后期复发,孩子免不了再挨一刀,整个家庭都将再次遭受重创,另一方面如果手术不慎损伤正常脑组织神经,术后的后遗症和并发症也难以想象。慎重选择神经外科医生团队和医院,经验丰富的主刀医师是疾病转归和预后的关键性左右,是提高生存率和生活质量的较重要保障。
INC还有哪些国际室管膜瘤治疗专家?
INC德国巴特朗菲教授

擅长领域:专研复杂脑瘤手术40余年,擅长大脑半球病变、脑干病变、脑血管疾病、脑内深层区胶质瘤、颅颈交界处的病变等的肿瘤切除术、神经吻合术以及各种椎管内肿瘤切除术,拥有上千台脑干手术量,以高超的技术手法和顺利前提下高切除率手术而,在中国患者群中被尊称为“巴教授”。
INC法国福洛里希教授

擅长领域:擅长神经内镜鼻内入路的颅底肿瘤切除,针对听神经瘤、垂体瘤、脊索瘤、颅咽管瘤等复杂脑肿瘤等采取神经内镜下颅内高难度位置的微创手术。其的内镜手术“筷子”操作方式不止提高了肿瘤的切除率,更是使肿瘤患者有了更好的预后效果。
- 文章标题:【国际教授研究】室管膜瘤手术vs不手术,活多久差别大吗?
- 更新时间:2024-04-28 09:29:24
400-029-0925




